سهم اپراتورهای موبایل از بازار تا سال 95
آخرین وضعیت تلفن همراه که توسط دفتر بررسیهای اقتصادی وزارت ارتباطات اعلام شده از وجود ۷۲ میلیون موبایل فعال و ضریب نفوذ ۹۲.۰۹ درصدی این فناوری ارتباطی در کشور خبر می دهد.
وضعیت ارتباطات و فناوری اطلاعات در کشور از لحاظ شاخص دسترسی به ارتباطات موبایل، توسط دفتر بررسیهای فنی اقتصادی معاونت برنامهریزی و نظارت راهبردی وزارت ارتباطات و فناوری اطلاعات اعلام شد. این درحالی است که تاکنون آمار رسمی در مورد جزئیات فعالیت اپراتورهای موبایل و تعداد مشترکان فعال و نیز سهم بازار آنها از سوی وزارت ارتباطات منتشر نشده بود و تنها اپراتورها جسته و گریخته در این زمینه اطلاع رسانی کرده بودند.
آمار اعلام شده از آخرین وضعیت اپراتورهای موبایل در کشور حاکی از آن است که برغم آنکه ۱۴۴ میلیون و ۱۹۹ هزار و ۳۰۶ خط موبایل تا پایان شهریورماه سال جاری در کشور واگذار شده اما در مجموع ۷۲ میلیون و ۸۶ هزار و ۳۰ خط تلفن همراه دایر و فعال است. همچنین ضریب نفوذ موبایل در ایران ۹۲.۰۹ درصد اعلام شده و اپراتور همراه اول با داشتن ۴۱ میلیون و ۲۹۱ هزار و ۸۱ مشترک فعال، بیشترین سهم را از بازار تلفن همراه به خود اختصاص داده است.
میزان مکالمات موفق در شبکه همراه اول ۴۶.۳ درصد است
آمارهای به دست آمده نشان می دهد که اپراتور همراه اول ۱۷ میلیون و ۷۶۶ هزار و ۷۴۹ سیمکارت دائمی و ۴۶ میلیون و ۹۰۱ هزار و ۳۷۳ سیمکارت اعتباری و در مجموع ۶۲ میلیون و ۶۶۸ هزار و ۱۲۲ خط واگذار کرده اما از این تعداد ۴۱ میلیون و ۲۹۱ هزار و ۸۱ مشترک، فعال هستند. با این وجود ضریب نفوذ این اپراتور در کشور ۵۳ درصد اعلام شده است.
اپراتور همراه اول با ۲۷۲ اپراتور از ۱۱۴ کشور رومینگ سیمکارتهای دائمی و با ۵۱ اپراتور از ۳۰ کشور رومینگ سیمکارتهای اعتباری دارد. همچنین ۸۸ درصد پوشش جاده های اصلی و ۷۷ درصد پوشش جاده های فرعی و ۹۴.۲ درصد پوشش جمعیتی کشور توسط این اپراتور انجام شده و ۱۲۴۴ شهر تحت پوشش شبکه همراه اول قرار دارند.
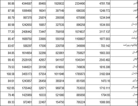
براساس بررسی ها، میزان مکالمات موفق در شبکه همراه اول ۴۶.۳ درصد و متوسط میزان برقراری موفقیت آمیز مکالمه در شبکه این اپراتور ۹۹.۱ درصد است. استانهای تهران و یزد بیشترین ضریب نفوذ سیمکارتهای همراه اول و سیستان و بلوچستان و خراسان شمالی کمترین ضریب نفوذ را به خود اختصاص دادهاند.
۴۶ میلیون سیمکارت فروخته شده ایرانسل، غیرفعال است
طبق آمارهای اعلام شده از سوی دفتر بررسی های اقتصادی وزارت ارتباطات، اپراتور ایرانسل تا پایان شهریورماه سال ۹۴ بالغ بر ۷۸۵ هزار و ۷۲۶ سیمکارت دائمی و ۷۴ میلیون و ۶۵۵ سیمکارت اعتباری فروخته است که در مجموع ۷۴ میلیون و ۷۸۶ هزار و ۳۸۱ سیمکارت از سوی این اپراتور واگذار شده اما از این تعداد تنها ۲۸ میلیون و ۹۲۲ هزار و ۸۰ خط فعال است.
ضریب نفوذ اپراتور ایرانسل در کشور ۳۶.۸ درصد اعلام شده و با ۴۱۸ اپراتور از ۱۶۳ کشور رومینگ دائمی، با ۱۳۸ اپراتور از ۸۰ کشور رومینگ اعتباری و با ۳۱۵ اپراتور از ۱۲۴ کشور رومینگ دیتا دارد. پوشش ۳۱ هزار و ۱۴۴ کیلومتر از جادههای کشور و ۱۱۹۵ شهر و ۱۱۳۰ روستا از جمله اقدامات ایرانسل است.
متوسط میزان برقراری موفقیت آمیز مکالمه در شبکه ایرانسل ۹۵ درصد و میزان مکالمات موفق این اپراتور ۴۶.۹۴ درصد اعلام شده است. براساس بررسی های انجام شده، استانهای البرز و یزد بیشترین ضریب نفوذ موبایل را در شبکه ایرانسل دارند.
کمتر از ۲ میلیون نفر رایتل دارند
بررسی ها نشان می دهد که تا پایان شهریورماه سال جاری، اپراتور رایتل ۱۳۵ هزار و ۱۹۳ سیمکارت دائمی، ۴ میلیون و ۱۶۷ هزار و ۲۶۴ سیمکارت اعتباری و ۴۴۲ هزار و ۳۴۶ سیمکارت دیتا فروخته است که در مجموع تعداد واگذاری خطوط این اپراتور ۴ میلیون و ۷۴۴ هزار و ۸۰۳ سیمکارت اعلام شده است. این درحالی است که از این تعداد، یک میلیون و ۸۰۲ هزار و ۸۶۹ سیمکارت در شبکه اپراتور رایتل فعال است و ضریب نفوذ این اپراتور ۲.۲۹ درصد اعلام شده است.
اپراتور رایتل با ۶ کشور خارجی ارتباط رومینگ دارد و تهرانی ها بیشترین مشترکان این اپراتور را هستند و ضریب نفوذ رایتل در اردبیل و ایلام از سایر استانها کمتر است.
سهم بازار ۵۷ درصدی برای همراه اول
به گزارش مهر، آمارهای اعلام شده نشان می دهد که همراه اول بیشترین درصد ضریب نفوذ سیمکارتهای دایری و فعال را در کل استانها به خود اختصاص داده و کمترین میزان ضریب نفوذ دایری، مربوط به رایتل است. در همین حال از لحاظ خطوط واگذار شده، ایرانسل بیشترین تعداد سیمکارت را در کشور فروخته است.
درهمین حال بررسی ها نشان می دهد که ضریب نفوذ تلفن همراه در شهریورماه سال ۹۴ نسبت به مدت مشابه سال قبل (شهریور ۹۳) تفاوت چندانی نداشته و به نظر می رسد بازار تلفن همراه در کشور به اشباع رسیده است. به نحوی که ضریب نفوذ همراه اول تا پایان شهریورماه سال ۹۳ حدود ۵۰ درصد بود که امسال به ۵۳ درصد رسیده است. درهمین حال ضریب نفوذ ایرانسل ۳۳.۸۸ درصد بود که به ۳۶.۸ درصد رسیده و اپراتور رایتل نیز با ضریب نفوذ ۲.۲۲ درصد در سال ۹۳ نسبت به ضریب نفوذ ۲.۲۹ درصدی در سال ۹۴، تغییر چندانی نداشته است.
براساس اعلام دفتر برنامه ریزی اقتصادی وزارت ارتباطات، اپراتور همراه اول ۵۷ درصد سهم بازار، ایرانسل ۴۰ درصد و رایتل ۳ درصد این بازار را از آن خود کرده اند. این درحالی است که سایر اپراتورها و ارائهکنندگان سرویسهای همراه، درصد بسیار کمی از سهم بازار موبایل در کشور را در اختیار دارند.
برای مثال شرکت گسترش ارتباطات تالیا با ۵۹۹ هزار سیمکارت فروخته شده، تنها ۱۰۱ هزار و ۲۲۷ مشترک فعال دارد. شرکت مشارکتی سیار اصفهان به عنوان اپراتور محلی اصفهان ۳۳ هزار و ۶۰۰ سیمکارت فروخته که از این تعداد تنها ۱۰ هزار سیمکارت فعال است و این اپراتور در مرحله پلمپ تجهیزات قرار دارد. اپراتور سازمان منطقه آزاد کیش که در استان هرمزگان، سرویس میدهد نیز با ۱۶ هزار و ۸۵۶ سیمکارت واگذار شده، ۱۵ هزار و ۸۶۳ مشترک فعال دارد.





